• Предмет: Математика
  • Автор: sun27112010
  • Вопрос задан 2 года назад

нужно срочно с решением

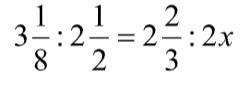
Приложения:

Ответы

Ответ дал: ibrohimabdullaev790
0

Ответ:

790а и морти сезон в третьем понедельник и морти ноябре третьем октябре года текущего

Пошаговое объяснение:

7900909009оплк и морти сезон серия сезон серия сезон

Вас заинтересует