• Предмет: Химия
  • Автор: anastasiyakorkishko7
  • Вопрос задан 2 года назад

Урівняйте рівняння методом електронного балансу. Очень срочно!!!​

Приложения:

Ответы

Ответ дал: nikolaygr
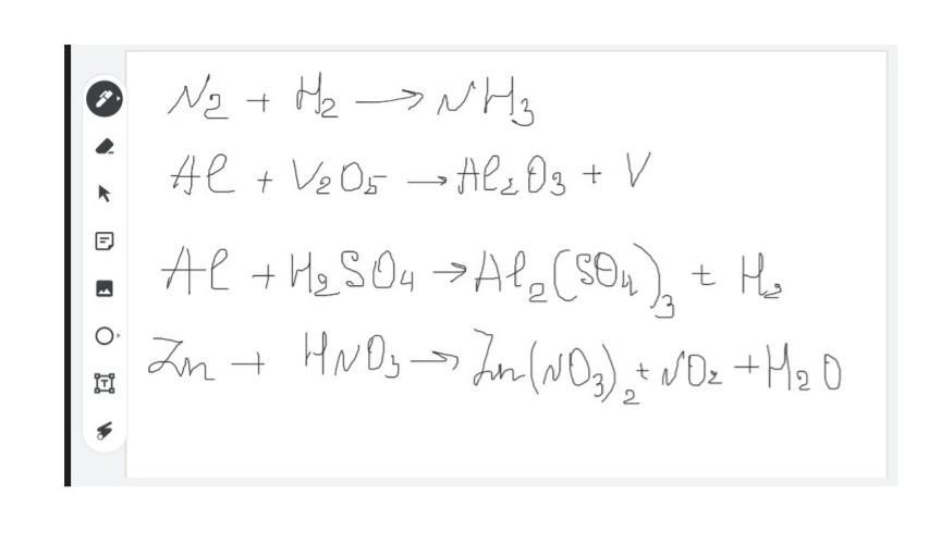
1

Відповідь:

N2+3H2=2NH3

N2⁰+6e=2N⁻³║3

H2⁰-2e=2H⁺¹║1

10AI+3V2O5=6V+5AI2O3

AI⁰-3e =AI⁺³ ║5

V⁺⁵+5e=V⁰║3

2AI+3H2SO4=AI2(SO4)3+3H2

AI⁰-3e=AI⁺³║2

2H+2e=H2⁰║3

Zn+4HNO3=Zn(NO3)2+2NO2+2H2O

Zn⁰-2e=Zn⁺²║1

N⁺⁵+1e=N⁺⁴║2

Пояснення:


anastasiyakorkishko7: огромное спасибо ❤️
Вас заинтересует