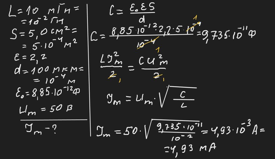
Коливальний контур складається з котушки індуктивністю 10 мГн і плоского конденсатора з обкладками площею 5,0 см² кожна, роздiлених парафіновим папером (e= 2,2) завтовшки 100 мкм. Яке амплітудне значення сили струму в контурі, якщо максимальна напруга між обкладками конденсатора 50 В.
срочно, дам 100 баллов
Ответы
Ответ дал:
3
Відповідь: 4,93 мА
Пояснення: Спочатку знаходимо ємність плоского конденсатора , а потім застосовуємо закон збереження енергії для коливального контура: максимальна енергія магнітного поля дорівнює максимальній енергії електричного поля
Приложения:

Вас заинтересует
1 год назад
1 год назад
1 год назад
1 год назад
3 года назад
3 года назад
8 лет назад
8 лет назад