• Предмет: Физика
  • Автор: mitelniz260
  • Вопрос задан 2 года назад

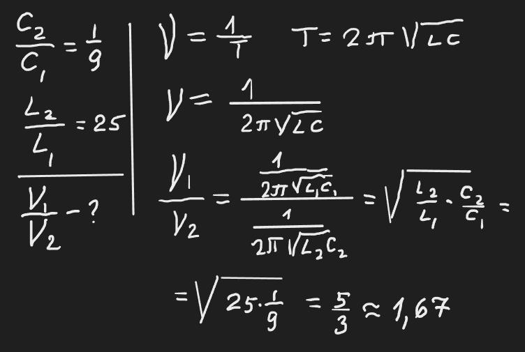
Як зміниться частота власних коливань у коливальному контурі, якщо ємність конденсатора зменшити у 9 разів, а індуктивність збільшити у 25 разів?

Ответы

Ответ дал: zybkov1950
1

Відповідь: Зменшиться у 1,67 разів

Пояснення:

Приложения:
Вас заинтересует