• Предмет: Математика
  • Автор: DraGonFLGG9997
  • Вопрос задан 2 года назад

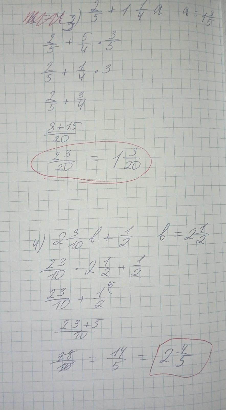
580. Найдите значение выражения: 5 1) а + 7 при а = 4; = 12 2) b+ 3 при b = 3 4 (55 20). 3) cT/N 5 4) 2-3 10 A/H 3 а при а = 1-; 5 1 при ь = 2- 12 195​

Приложения:

Ответы

Ответ дал: soffochkka
2

Ответ:

Надеюсь будет понятно, прикрепила фото

Приложения:

nurgazinaaidana: пон
nurgazinaaidana: правильно
Вас заинтересует