• Предмет: Математика
  • Автор: 2020202021
  • Вопрос задан 2 года назад

30 б ( желательно росписать на листе и зделать фото )​

Приложения:

Ответы

Ответ дал: parus77
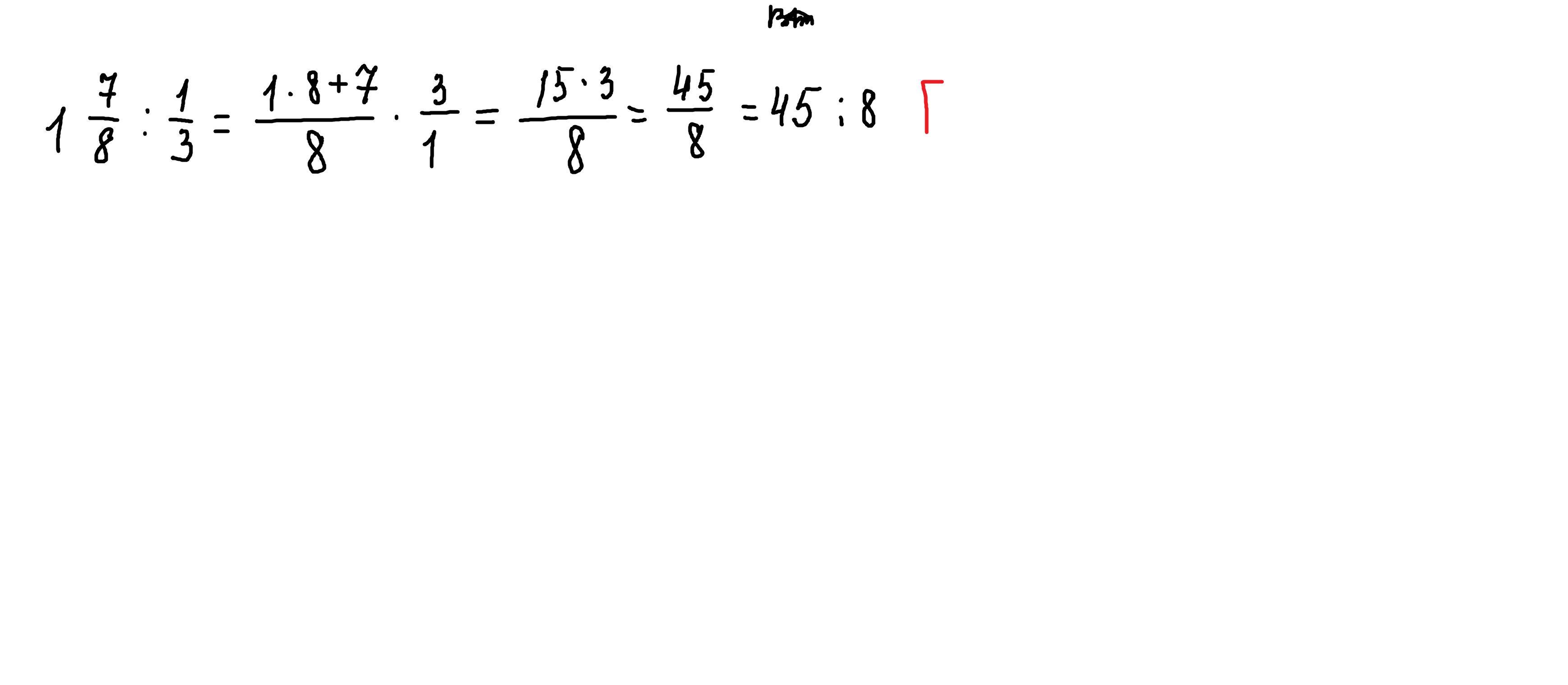
1

Ответ:

Г

Пошаговое объяснение:

решение внизу

Приложения:
Вас заинтересует