• Предмет: Математика
  • Автор: sanazopa02
  • Вопрос задан 2 года назад

Помогите пожалуйста вообще не понимаю что тут делать

Приложения:

Ответы

Ответ дал: dashhhka2022
0

Об'яснение:

/ - дробь ; * - умножение

Речь:

Привет!) Как я понела, надо просто упростить примеры, если чесно, я незнаю какой ты клас, ведь у каждого класа разные темы. Ето очень легко!)

Ответы:

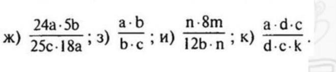
ж) 24а * 5b/25c * 18a = 4b/5c * 3 = 4b/15c

з) a * b/b * c = a/c

и) n * 8m/12b * n = 2m/3b

к) a * d * c/d * c * k = a/k

Детальное об'яснение:

Смотри, видеш одинаковые буковки?

Их надо сократить (abt/abc= (a и b сокращяем и получается в целой у нас t, а в дробовой у нас с) = t/c

Удачи в учёбе!!! :3

Ответ дал: aldiyaramanaev14
1

ж)4b

....___

....15c

з)a

..._

...c

и)2m

...___

...3b

к)a

...__

...k

Вас заинтересует