• Предмет: Физика
  • Автор: lerawp
  • Вопрос задан 2 года назад

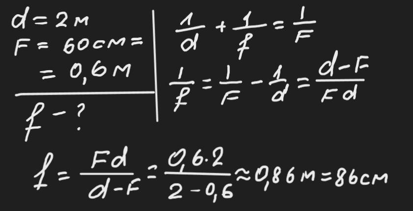
Вiдстань від предмета до збиральноï лінзи дорівнює 2 м. Визначте відстань вiд лiнзи до зображення, якщо фокусна відстань лінзи 60 см.

Ответы

Ответ дал: zybkov1950
1

Відповідь: ≈ 86 см

Пояснення:

Приложения:
Вас заинтересует