• Предмет: Алгебра
  • Автор: Аноним
  • Вопрос задан 2 года назад

помогите пожалуйста даю 50балов!!!

Приложения:

Ответы

Ответ дал: valeriaveselova
0

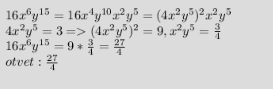
Ответ:

27/4 решение на фото ......

Приложения:
Вас заинтересует