• Предмет: Математика
  • Автор: alina07875
  • Вопрос задан 2 года назад

ПОМОГИТЕ ПОЖАЛУЙСТА 45 БАЛОВ ЗА ВСЁ ТРИ ПРИМЕРА!!!! С ПОЯСНЕНИЯМИ!!!!​

Приложения:

Ответы

Ответ дал: 22822822823
0

Пошаговое объяснение:

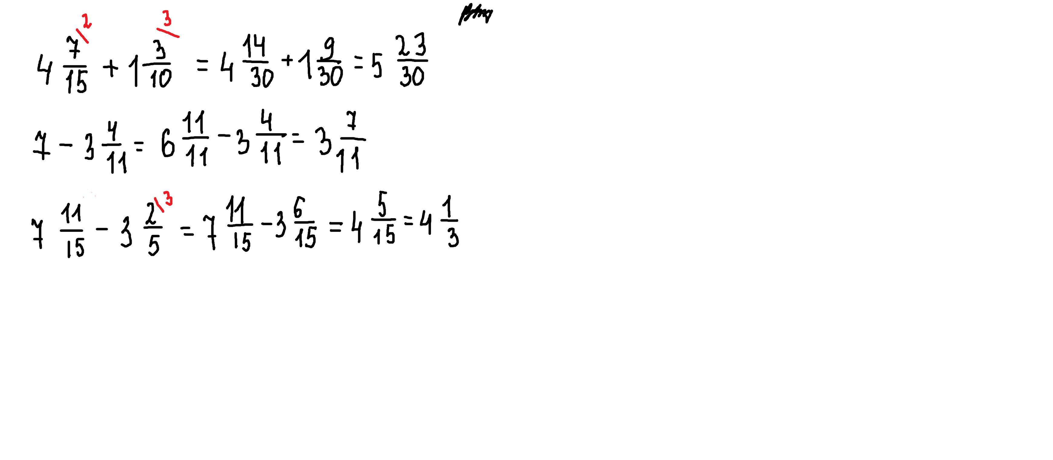
4 7/15 +1 3/10 = 4 14/30 + 1 9/30 = 5 23/30 ;

7 - 3 4/11 = 3 7/11;

7 11/15 - 3 2/5 = 7 11 /15 - 3 6/15 = 3 5/15 ( 1/3)

Ответ дал: parus77
0

Ответ:

Пошаговое объяснение:

решение внизу

Приложения:
Вас заинтересует