стороны параллелограмма равны 3 и 13 а синус одного из углов параллелограмма равен 2/3. найдите площадь параллелограмма
Ответы
Ответ дал:
0
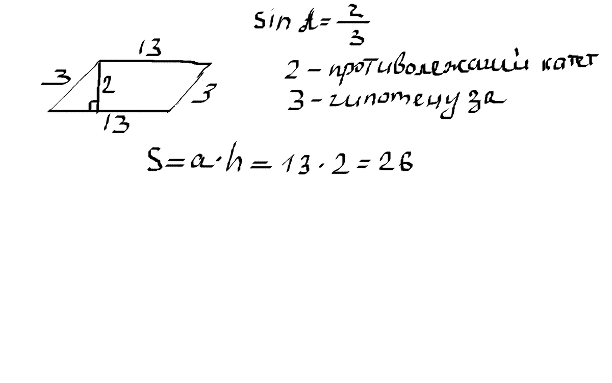
Решение во вложениях)))))))))))))))))))))))))))))
Приложения:

Ответ дал:
0
3*13*2/3=26 формула такая же как у треугольника только на два делить не надо
Приложения:

Ответ дал:
0
есть специальная формула Sпар-ма=a*b*sin(угла между этими сторонами)
Вас заинтересует
2 года назад
8 лет назад
8 лет назад
10 лет назад
10 лет назад
10 лет назад