• Предмет: Алгебра
  • Автор: iraq9
  • Вопрос задан 2 года назад

Допоможіть, будь ласка, розв'язати рівняння:
(в попередньому повідомленні забула фото вставити)​

Приложения:

Ответы

Ответ дал: semukoleeena
1

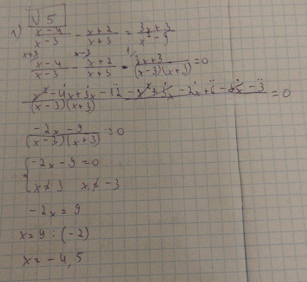
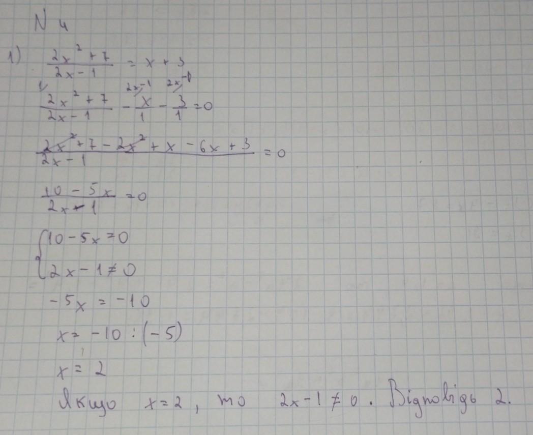
У мене в п'ятому вийшла дич тому я вам з програми кидаю його але і те що в мене я теж кину :) (ті крапочки над третім сповпцем рівняння з п'ятого завдання мої умовні позначки, їх перемальовувати не треба)

Приложения:

iraq9: Ойй, дуже дякую, що розписали розв'язання! Якщо ще напишите 5 то буду дуже вдячна!
semukoleeena: написала і 5 теж
iraq9: Дуже вдячна, за розв'язання 4,5 завдання!
semukoleeena: Була рада допомогти!
Ответ дал: mishunya4234
1

Відповідь:

Пояснення:

Приложения:
Вас заинтересует