Ответы
Ответ дал:
1
Ответ:
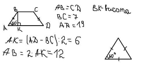
АВ=12см
...................
Приложения:

Вас заинтересует
1 год назад
1 год назад
3 года назад