• Предмет: Алгебра
  • Автор: ladynastya08
  • Вопрос задан 2 года назад

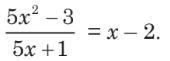
Розв’яжіть рівняння (за допомогою пропорції), даю 25 баллов

Приложения:

Ответы

Ответ дал: dashaywta
1

Ответ:

Х=

1/

Объяснение:

Приложения:
Ответ дал: Пеппер
1

Ответ:

1/9

Объяснение:

5х²-3=(х-2)(5х+1)

5х²-3=5х²-10х+х-2

9х=1;  х=1/9

Вас заинтересует