• Предмет: Геометрия
  • Автор: arm136
  • Вопрос задан 10 лет назад

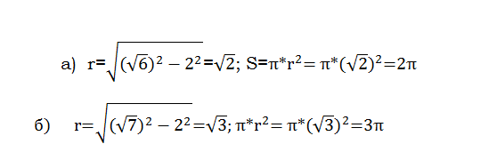
Найти площадь основы конуса  2 вариант

Приложения:

Ответы

Ответ дал: dnepr1
0
Радіус основи становить R = √(L²-H²) = √(7-4) = √3.
Площа основи S =πR² = 3π.
Ответ дал: Аноним
0
Решение во вложениях))))))))))
Приложения:
Вас заинтересует