• Предмет: Математика
  • Автор: Katipa12
  • Вопрос задан 2 года назад

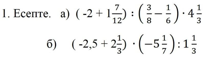
помогите пожалуста :((​

Приложения:

Ответы

Ответ дал: Lero4ka4348
1

Ответ:

1)

 -  \frac{26}{3}

ну можно ещё записать как

 - 8 \times \frac{2}{3}

ну или же

-8,6

2)

 \frac{9}{14}

ну вроде так

Пошаговое объяснение:

сочувствую приложение photomath


Lero4ka4348: советую приложение это скачай
Вас заинтересует