• Предмет: Математика
  • Автор: Kirieshka054
  • Вопрос задан 2 года назад

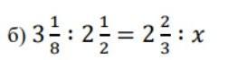
пожалуйста решите уровнение дам 40 балов​

Приложения:

Ответы

Ответ дал: mscs
1

Ответ:

3 1/8 : 2 1/2 = 1 1/4

2 2/3: 1 1/4= 2 2/15

Пошаговое объяснение:

Вас заинтересует