• Предмет: Алгебра
  • Автор: gritsenkoandriy
  • Вопрос задан 2 года назад

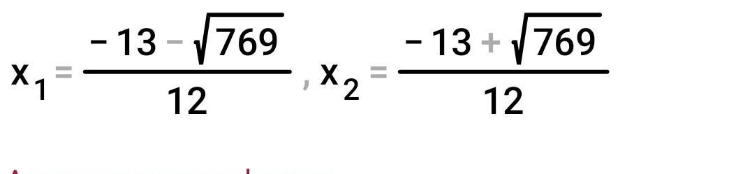
Решить помогите.
(2x + 6)(7 - 4x) = (2 - x)(2x + 1) + 15

Ответы

Ответ дал: alinagaidai2012
0

Ответ:

2х-7х82(27)-726=176289

Ответ дал: golovinak015
0

Ответ:

Вот,я незнаю правильно или нет

Приложения:
Вас заинтересует