• Предмет: Алгебра
  • Автор: TTTIIIMMM2009
  • Вопрос задан 2 года назад

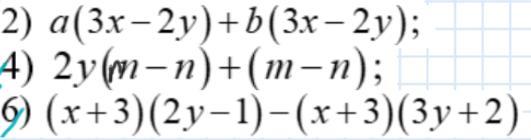
Все в фото
Розкласти на множники

Приложения:

TTTIIIMMM2009: В 4) m повинна бути

Ответы

Ответ дал: xxxful
1

Ответ:

1)(3х-2у)×(a+b)

2)(m-n)×(2y+1)

3)(x+3)×(-y-3)

Объяснение:

1)a×(3x-2y)+b×(3x-2y)

2)2y×(m-n)+(m-n)

3)(x+3)×(2y-1-(3y+2))

(x+3)×(2y-1-3y-2)

Вас заинтересует