• Предмет: Алгебра
  • Автор: strukova788
  • Вопрос задан 2 года назад

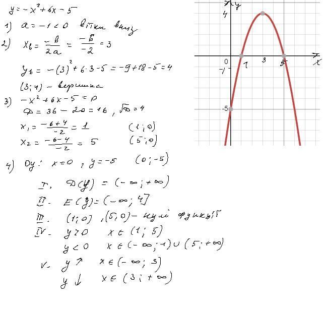
Побудувати графік функції

Приложения:

Ответы

Ответ дал: dashulka22222
1

Відповідь:

Пояснення:

Приложения:
Вас заинтересует