• Предмет: Алгебра
  • Автор: kosardenys
  • Вопрос задан 2 года назад

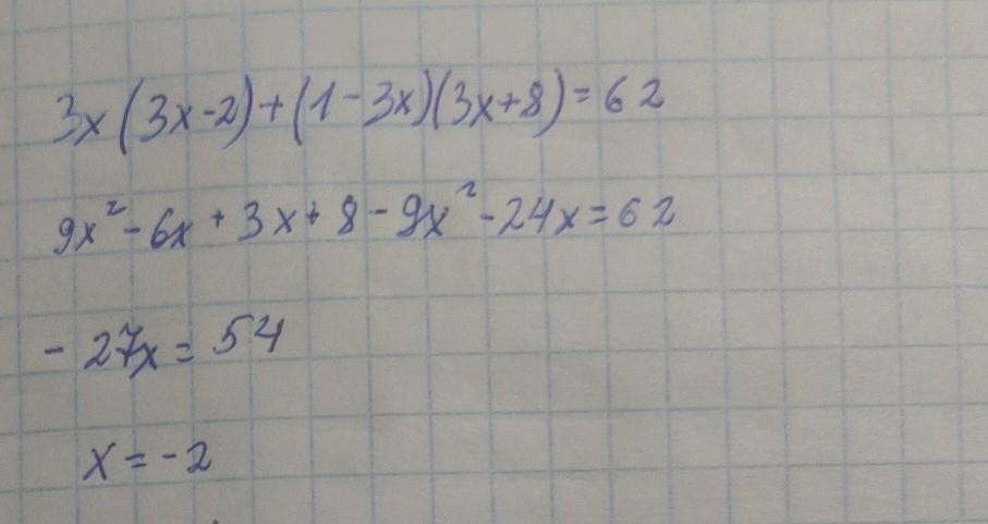
4. Розв'язати рівняння:
3x(3x-2)+(1-3x) (3x+8)=62.​

Ответы

Ответ дал: ssoduc
0
Ось відповідь x=-2

Об‘ясненя:

kosardenys: Можеш пж пояснити
ssoduc: 9x2-6x+3x+8-9×2-24х=62
-6x+3x+8-24x=62
-27x+8=62
-27x=62-8
-27x=54
x=-2
Ответ дал: smilingpineapple
0

Ответ:

-2

Объяснение:

решение смотри на фотографии

Приложения:
Вас заинтересует