• Предмет: Физика
  • Автор: iliabalkovidze8
  • Вопрос задан 2 года назад

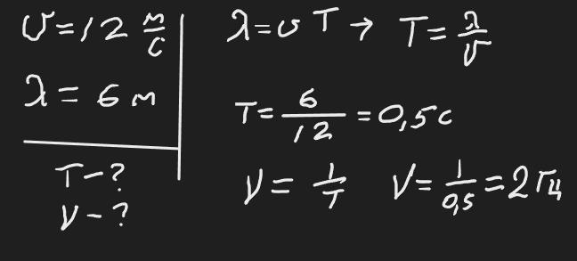
Поверхнею води в озері хвиля поширюється зі швидкістю 12 м/с. Який період і частота коливань бакена, якщо довжина хвилі 6 м?

Ответы

Ответ дал: zybkov1950
2

Відповідь: 0,5 с     2 Гц

Пояснення:

Приложения:
Вас заинтересует