• Предмет: Физика
  • Автор: sssaasha
  • Вопрос задан 2 года назад

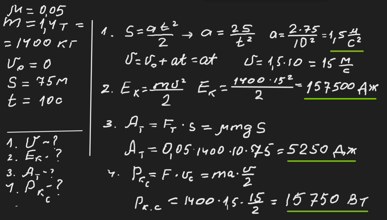
Автомобіль масою 1,4т рушає з місця, проходить шлях 75м за 10с.
Коефіцієнт тертя 0,05. Знайти: 1) швидкість наприкінці розгону, 2)набуту
кінетичну енергію, 3) роботу щодо подолання сил тертя, 4) корисну
потужність.

Ответы

Ответ дал: zybkov1950
2

Відповідь:    Див. додаток

Пояснення:  4). Оскільки потужність змінюється, то знайдено середню корисну потужність.

Приложения:
Вас заинтересует