стороны треугольника равны 3 см и 7 см а угол противолежащий большей из них равен 60 найдите периметр треугольника найдите площадь треугольника
Ответы
Ответ дал:
0
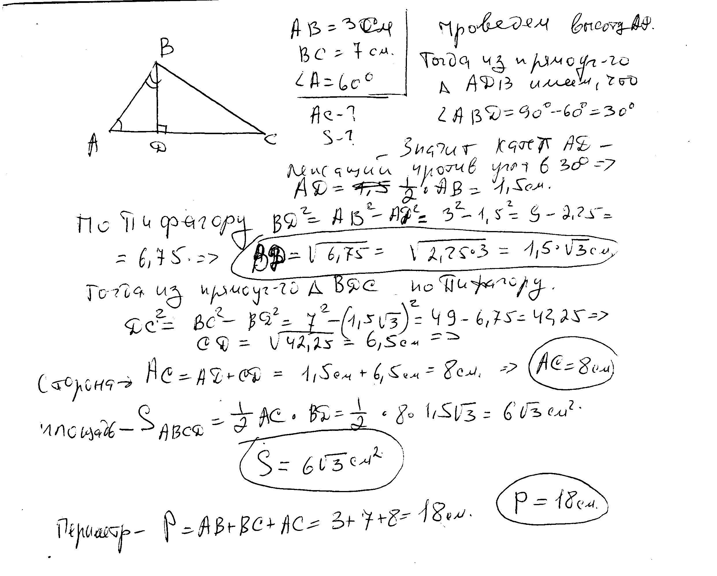
Решение в скане..............
Приложения:

Вас заинтересует
2 года назад
2 года назад
8 лет назад
10 лет назад
10 лет назад