• Предмет: Математика
  • Автор: semenbabuckij2
  • Вопрос задан 2 года назад

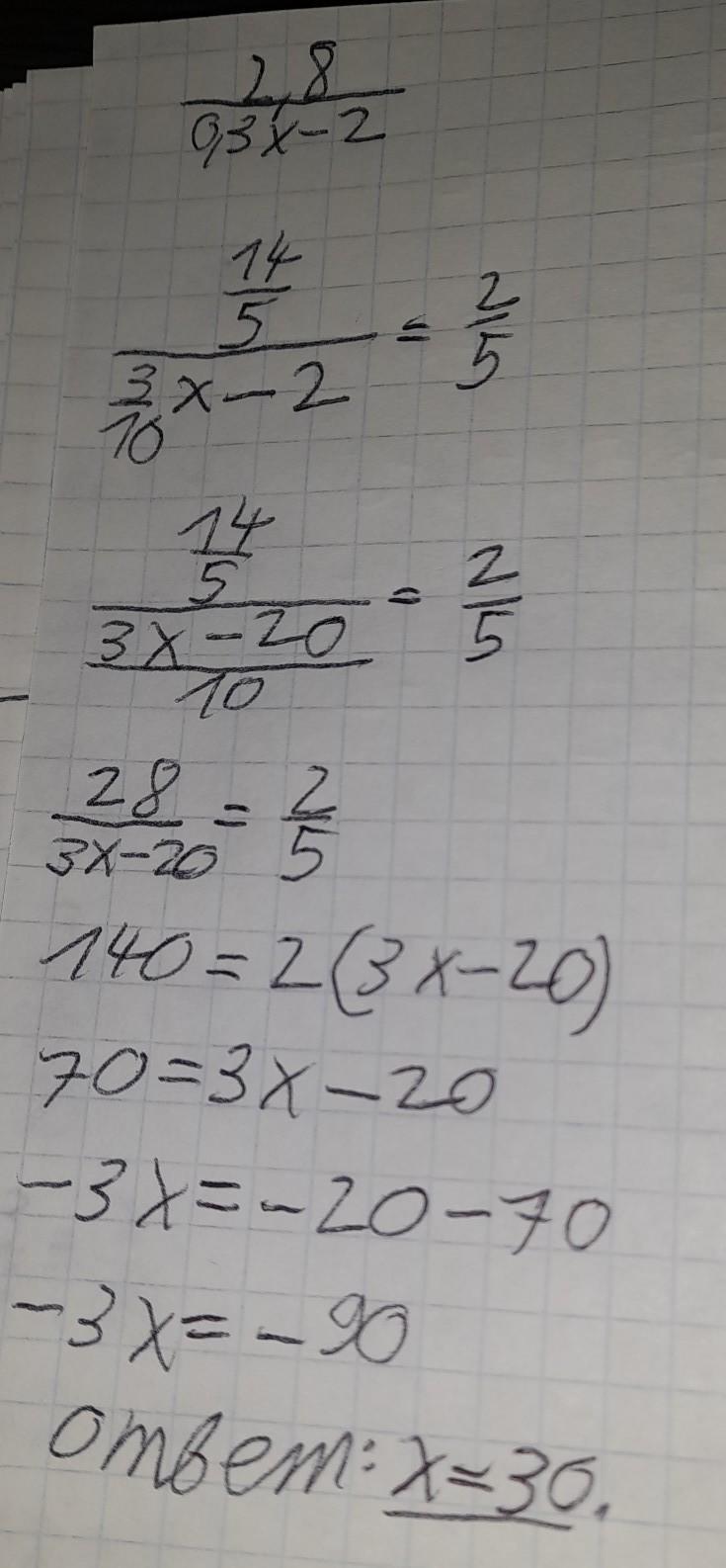
пж помогите я вас прошу бистрее с решением Розв’яжіть рівняння 2.8/(0.3x - 2) = 2/5

Ответы

Ответ дал: shorom
3

Ответ:

смотри на фото

Пошаговое объяснение:

подпишись пж

Приложения:

semenbabuckij2: спасибо
Ответ дал: iramazurk
6

Ответ:

30

Пошаговое объяснение:

2,8/(0,3х - 2) = 2/5

2 * (0,3х - 2) = 5 * 2,8

0,6х - 4 = 14

0,6х = 14 + 4

0,6х = 18

х = 18 : 0,6

х = 30

Вас заинтересует