• Предмет: Алгебра
  • Автор: Аноним
  • Вопрос задан 10 лет назад

Помогите пожалуйста!!!! Срочно надо!
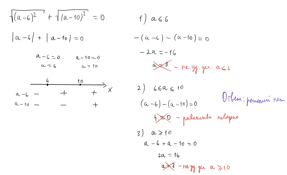
корень из (a-6)^2 + корень из (a-10)^2 =0

Ответы

Ответ дал: nikolac
0
Решение на картинке.
Приложения:
Вас заинтересует