• Предмет: Физика
  • Автор: SashkaSemenyk
  • Вопрос задан 2 года назад

Дуже срочно даю 100 балів!!!!!
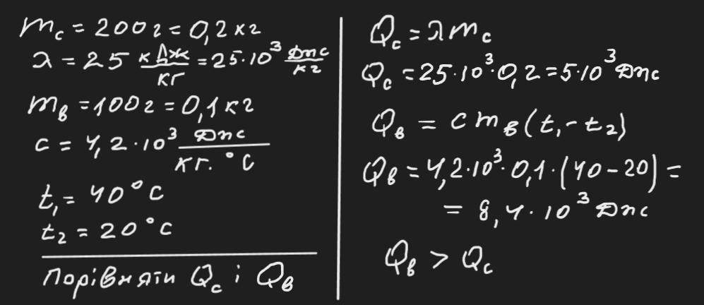
Коли виділиться більше теплоти: під час кристалізації 200 г
свинцю, взятого за температури плавлення, чи прик охот кен-
ні 100 г води від 40 °С до 20 °С?

Ответы

Ответ дал: zybkov1950
4

Відповідь: більше теплоти  виділиться при охолодженні води

Пояснення:

Приложения:
Вас заинтересует