• Предмет: Физика
  • Автор: millkywaayy
  • Вопрос задан 2 года назад

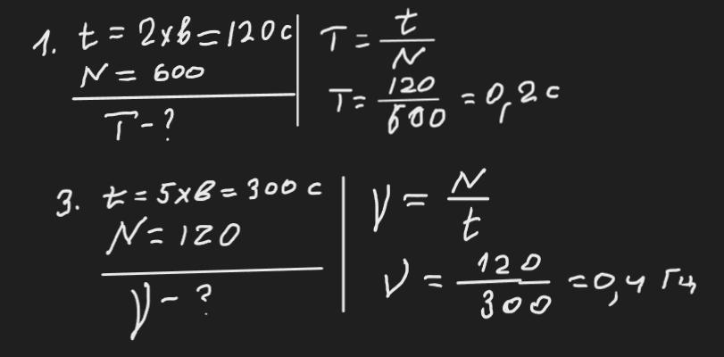
1)який період обертання колеса,якщо за 2 хв воно зробило 600 обертів.
2)Виберіть з даного переліку фізичні явища:балкон,гальмування автомобіля,хмара,зарядження акумулятора,круті сходи,зуби,плавлення воску,танення снігу,годинник,світанок,дошка,полярне сяйво.
3)Визначити частоту обертання гойдалки,якщо за 5 хв вона робить 120 коливань.

Ответы

Ответ дал: zybkov1950
0

Відповідь: 1) 0,2 с

2) гальмування автомобіля, заряджання акумулятора, плавлення воску, танення снігу, світанок, полярне сяйво.

3) 0,4 Гц

Пояснення:

Приложения:
Вас заинтересует