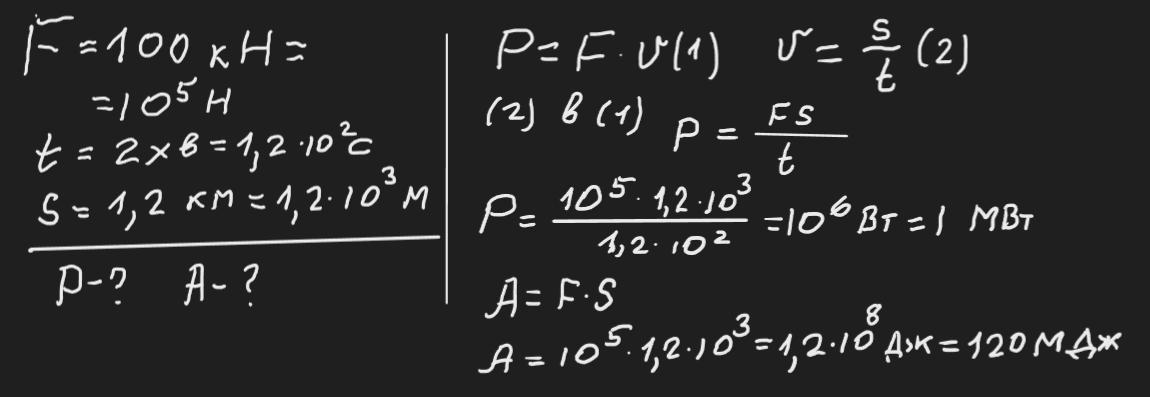
Сила тяги двигуна локомотива 100 кН. Визначте потужність і роботу локомотива, якщо за дві хвилини він проїхав 1,2 км.
Ответы
Ответ дал:
0
Відповідь: 1 МВт 120 МДж
Пояснення:
Приложения:
Вас заинтересует
2 года назад
2 года назад
2 года назад
2 года назад
3 года назад
3 года назад
9 лет назад
9 лет назад