• Предмет: Физика
  • Автор: Аноним
  • Вопрос задан 2 года назад

ДОПОМОЖІТЬ 50 БАЛІВ

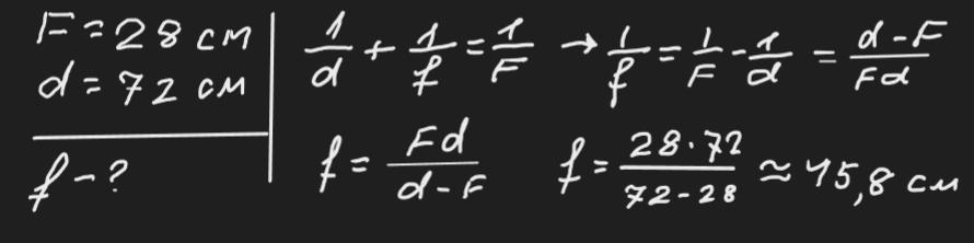
На якій відстані від збиральної лінзи з фокусною відстанню 28 см буде зображення предмета, якщо відстань між самим предметом і лінзою дорівнює 72 см?


magerramsirizade: 45,8

Ответы

Ответ дал: zybkov1950
2

Відповідь: ≈ 45,8 см

Пояснення:

Приложения:

Аноним: Что выбрать?
Ответ дал: yuliakl2018
1

Ответ:

D=1/F=1/0.28≈3.6

Объяснение:

D=1/d+1/f; 1/f = D- 1/d

1/f= D*d-1/d

f=d/Dd-1=0.72/3.6*0.72-1≈0.47м=47см


Аноним: И что выбрать
yuliakl2018: поставь пж лучший ответ, можешь писать его
Аноним: Телись ты не уверен что твоё правильное
Аноним: То есть
yuliakl2018: поставь лучший ответ, ему и так не надо, ему некуда ранг повышать
Аноним: Хорошо
yuliakl2018: спасибо огромное!
Вас заинтересует