• Предмет: Математика
  • Автор: varusyasorokina
  • Вопрос задан 2 года назад

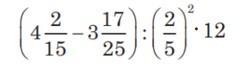
боже поможіть пліз . дуже треба . негайно

Приложения:

Ответы

Ответ дал: ab842962
0

Ответь

решение. Ответ 34

Приложения:
Вас заинтересует