• Предмет: Алгебра
  • Автор: chuply
  • Вопрос задан 2 года назад

помогите, даю 35 баллов, фото прикрепил

Приложения:

Rottenapple: надо пошаговое или только ответ
Rottenapple: ??
Rottenapple: в задании просто надо спростить, да?
Rottenapple: пон

Ответы

Ответ дал: artennvey2
0

Відповідь:

Пояснення:

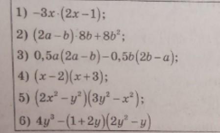
1.-3x*(2x-1)=-6x^2+3x=3x-6x^2
2.(2a-b)*8b+8b^2=16ab-8b^2+8b^2=16ab
3.0.5a(2a-b)-0.5b(2b-a)=a^2-0.5ab-b^2+-0.5ab=a^2-b^2
4.(x-2)(x+3)=x^2+3x-2x-6=x^2+x-6
5.(2x^2-y^2)(3y^2-x^2)=6x^2y^2-2x^4-3y^4+x^2y^2=7x^2y^2-2x^4-3y^4
6.4y^3-(1+2y)(2y^2-y)=4y^3-2y^2+y-4y^3+2y^2=y
^=степень
*=умножение

Вас заинтересует