• Предмет: Физика
  • Автор: daniapiatovski
  • Вопрос задан 2 года назад

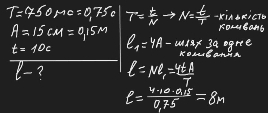
Поплавок здійснює незатухаючі коливання у воді, період яких 750 мс. Амплітуда коливань 15 см. Який шлях пройде поплавок за 10 с? (Даю 90 баллов)

Ответы

Ответ дал: zybkov1950
2

Відповідь: 8 м

Пояснення:

Приложения:

daniapiatovski: спс
Вас заинтересует
9 лет назад