• Предмет: Математика
  • Автор: angetenarrompasso
  • Вопрос задан 2 года назад

помогите пожалуйста

Приложения:

Ответы

Ответ дал: tetamotatetyamotya
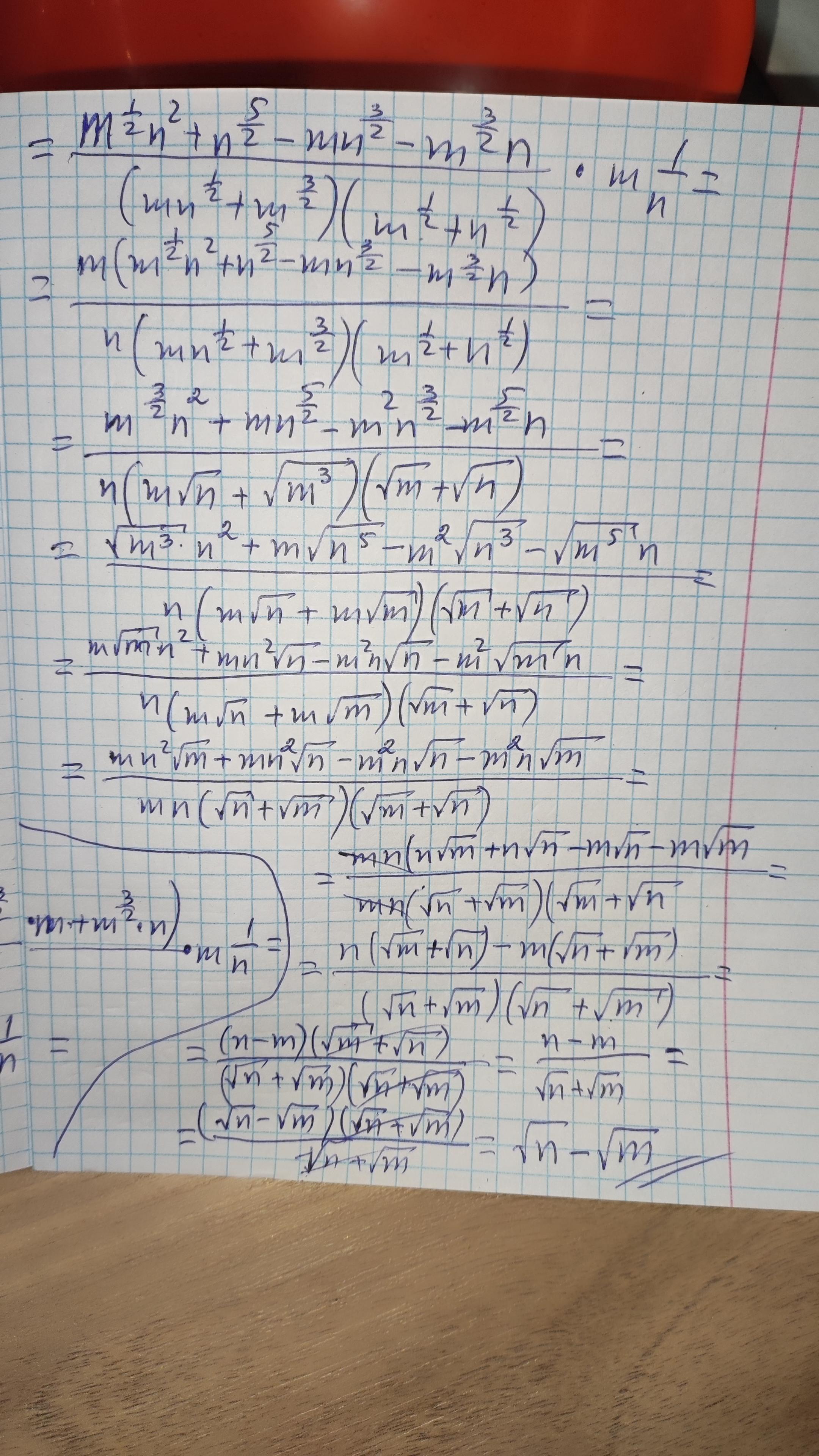
1

Ответ:вот

Пошаговое объяснение:

Приложения:

angetenarrompasso: от души, очень помог
tetamotatetyamotya: Пожалуйста
Ответ дал: natalyabryukhova
0

Ответ:

Упростили выражение:

\displaystyle        \left(\frac{m^2+n^2}{mn^{\frac{1}{2}}+m^{\frac{3}{2}  }} -\frac{m+n}{m^{\frac{1}{2} }+n^{\frac{1}{2} }} \right)\cdot mn^{-1}=\sqrt{n}-\sqrt{m}

Пошаговое объяснение:

Упростить выражение:

\displaystyle        \left(\frac{m^2+n^2}{mn^{\frac{1}{2}}+m^{\frac{3}{2}  }} -\frac{m+n}{m^{\frac{1}{2} }+n^{\frac{1}{2} }} \right)\cdot mn^{-1}

Используем формулы:

  • \boxed {\displaystyle\bf   a^{-1}=\frac{1}{a},\;\;a\neq 0;\;\;\;\;\;a^m\cdot a^n=a^{m+n} }

\displaystyle        \left(\frac{m^2+n^2}{mn^{\frac{1}{2}}+m\cdot m^{\frac{1}{2}  }} -\frac{m+n}{m^{\frac{1}{2} }+n^{\frac{1}{2} }} \right)\cdot m\cdot \frac{1}{n}=

_____________________________________________________

В первой дроби в знаменателе вынесем m за скобку, приведем дроби к общему знаменателю, в числителе приведем подобные члены:

_____________________________________________________

\displaystyle     =   \left(\frac{m^2+n^2}{m(n^{\frac{1}{2}}+m^{\frac{1}{2}  })} ^{(1}-\frac{m+n}{m^{\frac{1}{2} }+n^{\frac{1}{2} }} ^{(m}\right)\cdot  \frac{m}{n}=\\\\\\=\frac{m^2+n^2-m^2-mn}{m(n^{\frac{1}{2}}+m^{\frac{1}{2} })} \cdot \frac{m}{n} =\\\\\\=\frac{n^2-mn}{n^{\frac{1}{2} }+m^{\frac{1}{2} }} \cdot\frac{1}{n} =

_____________________________________________________

В числителе вынесем n за скобку и воспользуемся формулой разности квадратов двух чисел:

  •  \boxed {\displaystyle\bf  a^2-b^2=(a-b)(a+b)        }

______________________________________________________

\displaystyle        =\frac{n(n-m)}{(n^{\frac{1}{2} }+m^{\frac{1}{2} })\cdot n} =\frac{(n^{\frac{1}{2} }-m^{\frac{1}{2} })(n^{\frac{1}{2} }+m^{\frac{1}{2} })}{(n^{\frac{1}{2} }+m^{\frac{1}{2} })} =(n^{\frac{1}{2} }-m^{\frac{1}{2} })=\\\\=\sqrt{n}-\sqrt{m}

Вас заинтересует