• Предмет: Алгебра
  • Автор: Аноним
  • Вопрос задан 2 года назад

Знайдіть sin a
1. 24/25
2. -24/25
3. -25/24

Приложения:

Ответы

Ответ дал: parus77
1

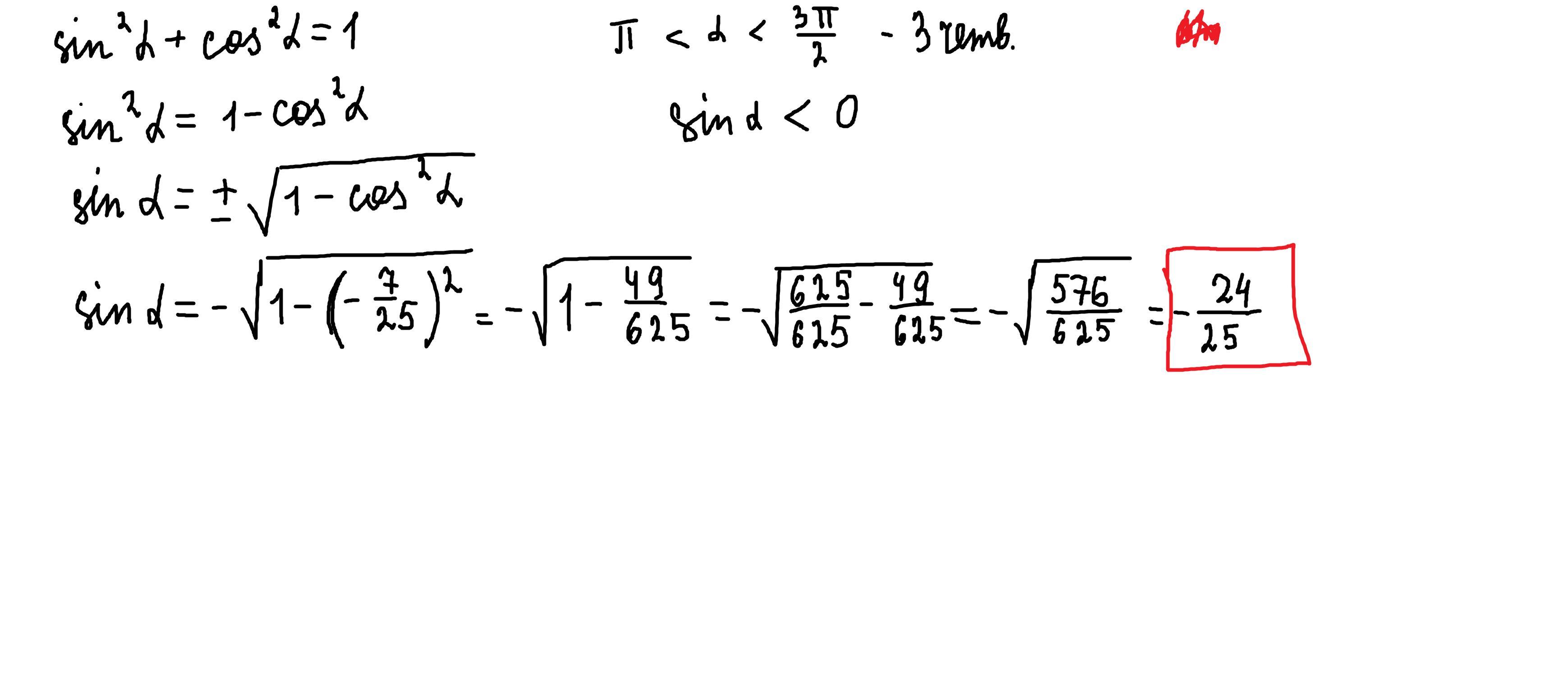
Ответ:

sin α= -24/25

Объяснение:

решение внизу

Приложения:
Вас заинтересует