• Предмет: Физика
  • Автор: Аноним
  • Вопрос задан 2 года назад

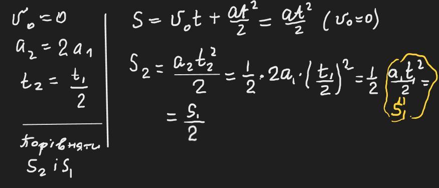
Тіло рухається рівномірно- прискорено зі стану спокою. Як зміниться пройдений шлях, якщо прискорення збільшилось В 2 i рази і час-руху зменшився в 2 рази?​

Ответы

Ответ дал: 555ai555
1

Ответ:

Объяснение:

a2 = 2*a1

t2 = t1/2

S1/S2 = ?

S1 = a1*t1^2 / 2

S2 = 2*a1*t1^2 / (4*2)

S1/S2 = (a1*t1^2 / (2)) /  (2*a1*t1^2 / (4*2)) = 4 / 2 = 2  раза

расстояние в первом случае будет больше в 2 раза

Ответ дал: zybkov1950
0

Відповідь:  пройдений шлях зменшиться у 2 рази

Пояснення:

Приложения:
Вас заинтересует