Ответы
Ответ дал:
1
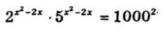
решение на фото..............
Приложения:


Вас заинтересует
1 год назад
1 год назад
3 года назад