• Предмет: Алгебра
  • Автор: dazaikinnie108
  • Вопрос задан 2 года назад

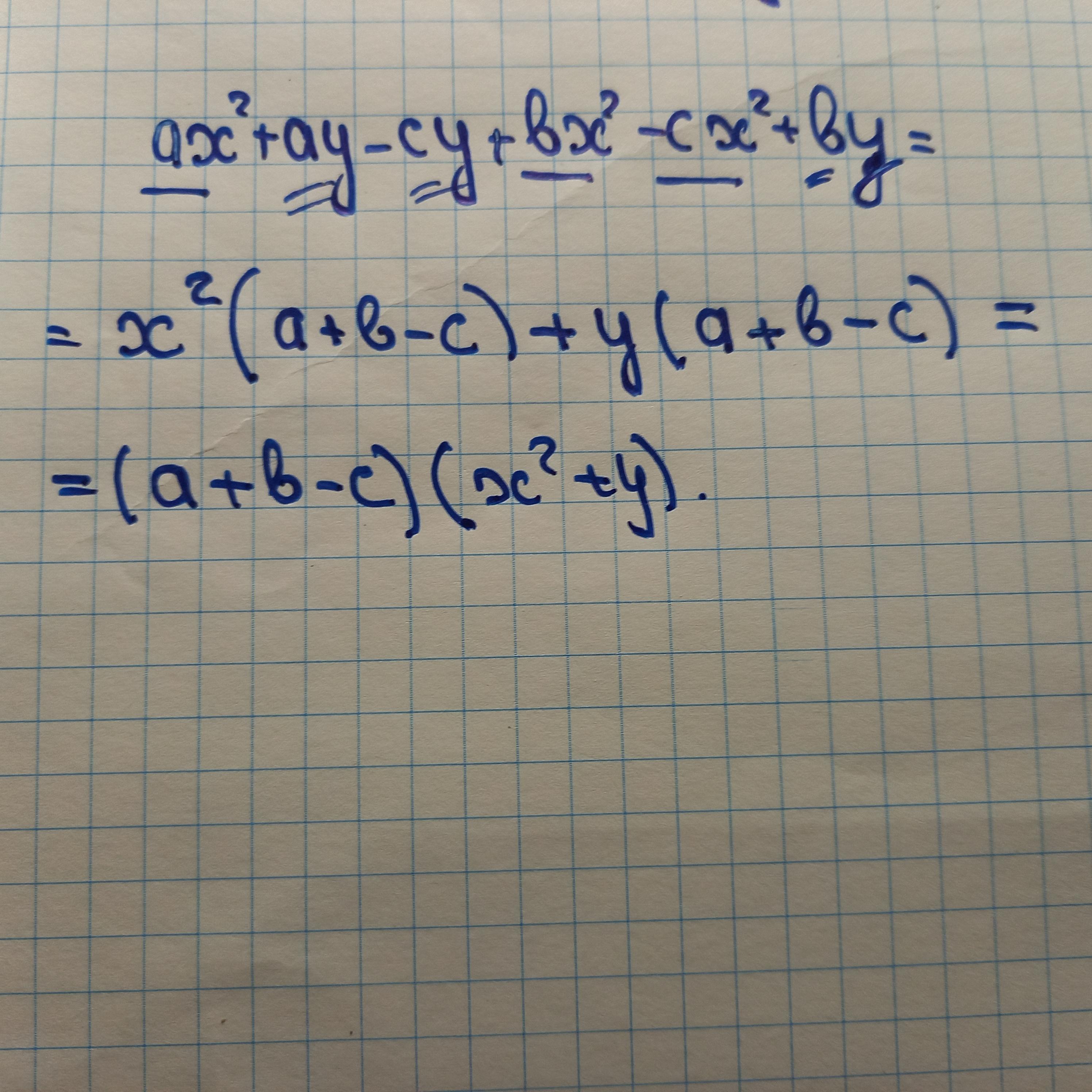
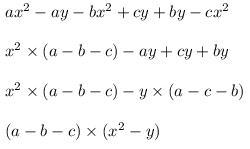
ax²+ay-cy+bx²-cx²+by
розкласти на множники способом групування ​

Приложения:

aarr04594: Перевірте умову.
aarr04594: Тепер зрозуміло.

Ответы

Ответ дал: aarr04594
0

Відповідь:

Пояснення:

Приложения:
Ответ дал: mariyamir
0

Ответ:

Объяснение:

1. Вынести за скобки общий множитель х².

2. Вынести за скобки общий множитель -у.

3. Вынести за скобки общий множитель а-b-c.

Приложения:
Вас заинтересует