• Предмет: Физика
  • Автор: ok120708
  • Вопрос задан 2 года назад

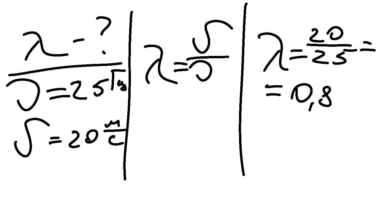
частота хвилі дорівнює 25 Гц, швидкість її поширення 20м/с Визначте довжину хвилі. а)5м б)50 м в)1,25м г)0,8м​

Ответы

Ответ дал: Ksenia123123123
0

Ответ:

г) 0,8м

Объяснение:

Приложения:
Вас заинтересует