• Предмет: Алгебра
  • Автор: VladNotLazy27567
  • Вопрос задан 2 года назад

Алгебра.............................

Приложения:

Ответы

Ответ дал: filuksistersp735lh
2

Ответ:

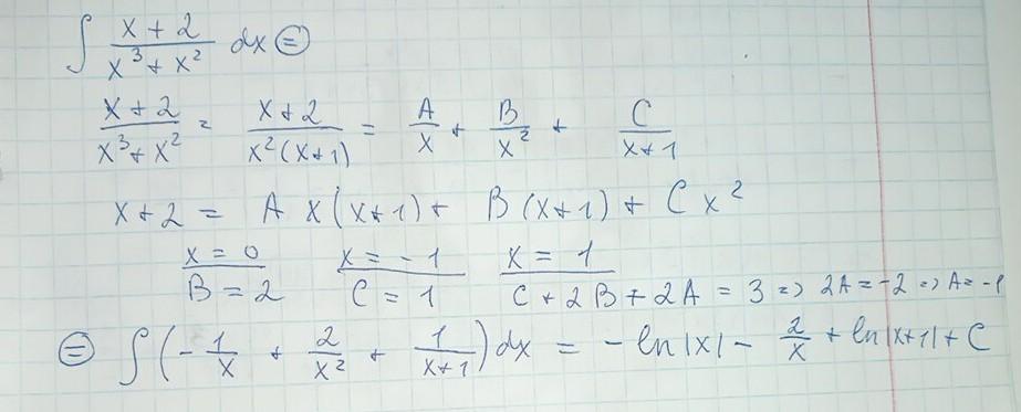
на фото...............

Приложения:

Iren245: Здравствуйте! Можете пожалуйста помочь с химией? Сердечно заранее Вас благодарю ❤️
Вас заинтересует