• Предмет: Математика
  • Автор: KVolkovaKamila
  • Вопрос задан 2 года назад

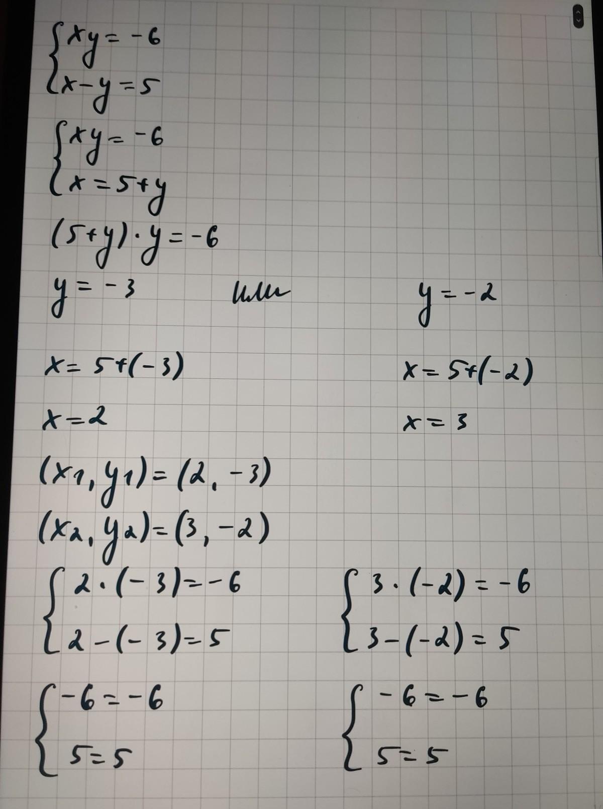
Розв'яжи систему рівнянь методом підстановки:​

Приложения:

Ответы

Ответ дал: mqqrds
1

Ответ:

Если что-то непонятно, напиши в комментах :)

Приложения:
Вас заинтересует