• Предмет: Алгебра
  • Автор: fasfsasfflj
  • Вопрос задан 2 года назад

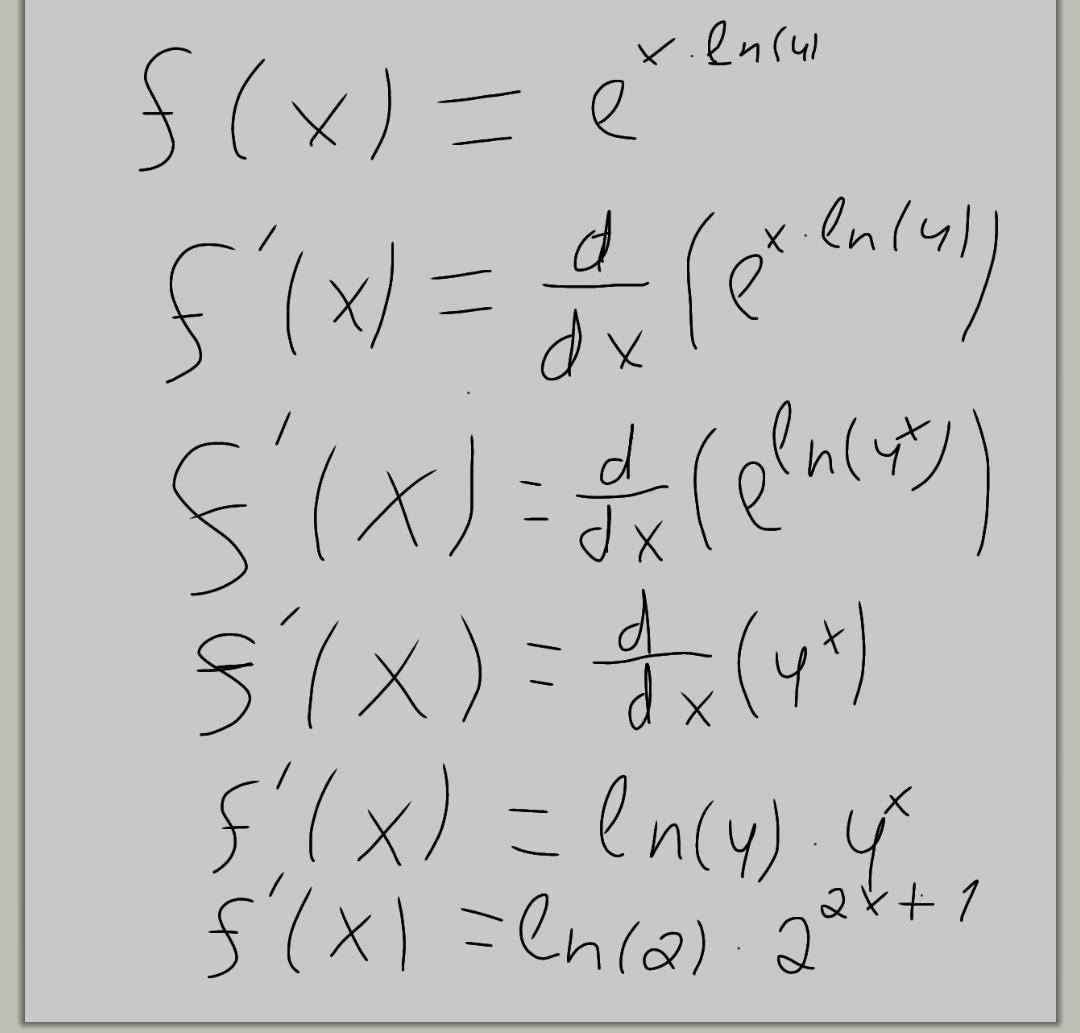
Помогите пожалуйста, нужно найти производную

Приложения:

Ответы

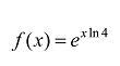
Ответ дал: invulnerablegoddness
1

Всё делается по формулам

Приложения:

fasfsasfflj: случайно 4 поставил
fasfsasfflj: спасибо за помощь
Вас заинтересует