• Предмет: Физика
  • Автор: m0678308901
  • Вопрос задан 2 года назад

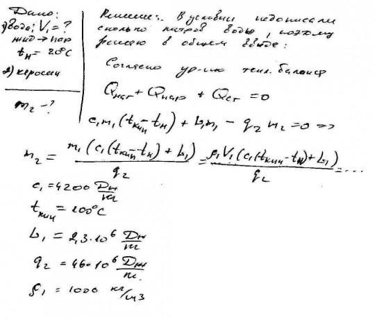
Скільки газу треба спалити щоб випарити 1 л води яка має температуру 20 °

Ответы

Ответ дал: jhgikgykk
0

Ответ:

Все написано на фотограіфї

Объяснение:

Приложения:

Аноним: нихуя не понятно
Вас заинтересует