• Предмет: Алгебра
  • Автор: seredavivtorok12
  • Вопрос задан 2 года назад

Будь-ласка поможіть даю максимальне количесво балов
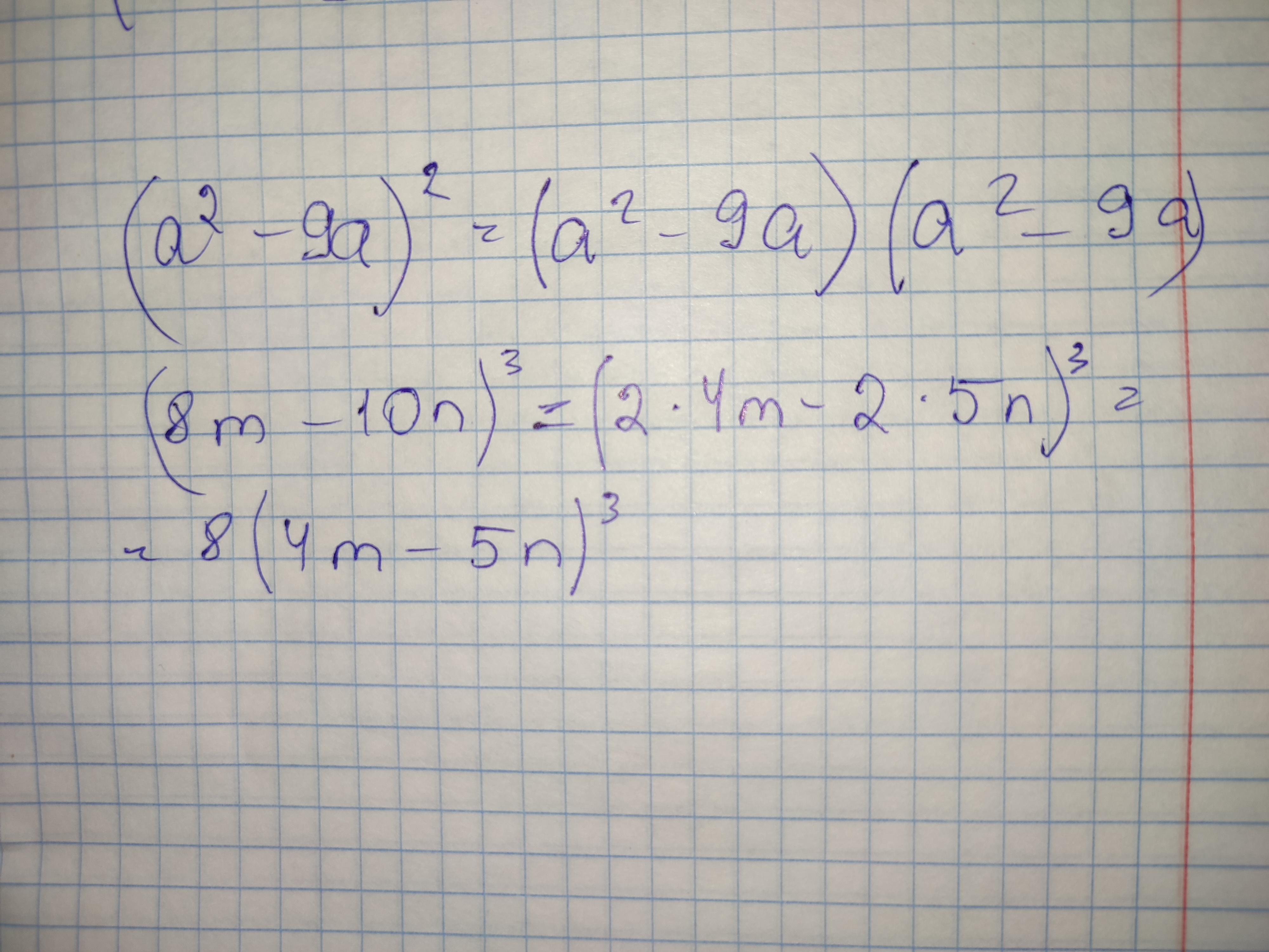
Винести за дужки спільний множник
(a²-9a)²
(8m-10n)³
Дуже прошу допоможіть​

Ответы

Ответ дал: slime9lime178
1

Ответ: надеюсь понятно

Объяснение:

Приложения:
Вас заинтересует