Ответы
Ответ дал:
0
Ответ:
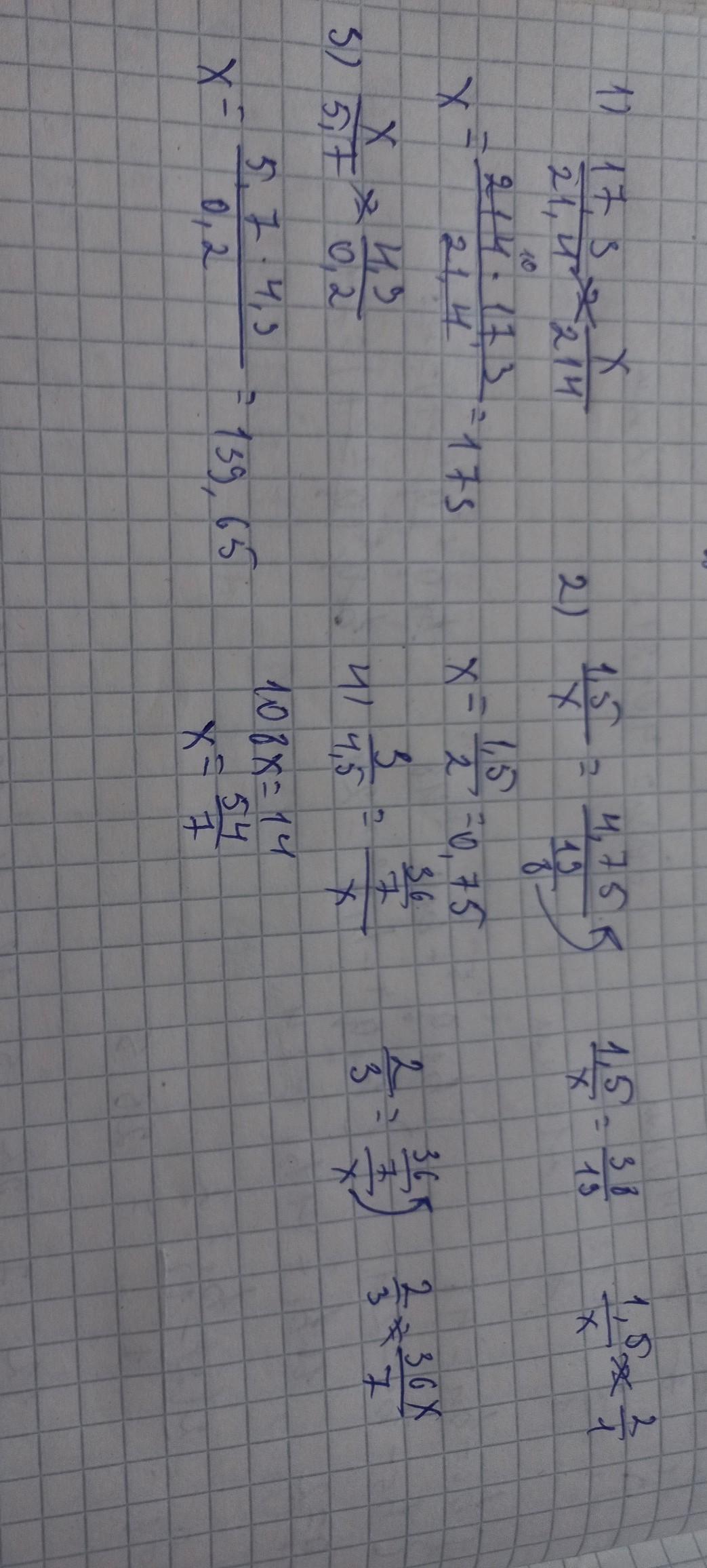
ответ показан на фото
Пошаговое объяснение:
пж можно лучший ответ
Приложения:

Вас заинтересует
1 год назад
3 года назад
8 лет назад