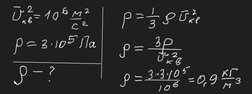
Квадрат середньої квадратичної швидкостi руху молекул газу дорiвнює
. Чому дорiвнює шустина цього газу, якщо його тиск
Па?
Ответы
Ответ дал:
3
Відповідь: 0,9 кг/м³
Пояснення:
Приложения:

Аноним:
здравствуйте вы не могли бы мне помочь с физикой пожалуйста умоляюю
Вас заинтересует
1 год назад
1 год назад
1 год назад
1 год назад
3 года назад
3 года назад