• Предмет: Физика
  • Автор: mgtihd
  • Вопрос задан 2 года назад

ДАЮ ВСІ БАЛИ! Кішка полюючи на муху, зістрибує з холодильника заввишки 2 м. Визначте швидкість руху кішки в момент торкання підлоги. (напишіть з умовою і т.д. будь ласка)

Ответы

Ответ дал: rita8626
0

Ответ:

Ее скорость не меньше 5.9м/с

(Примерно 19.5 км/ч)

Объяснение:

Когда эта бестия заскакивает на холодильник ее скорость равна 0. Я бы решал в таком случае обратную задачу. Какова бы была ее скорость при приземлении на пол, если она ненароком упадет с холодильника. Эта скорость будет минимальной для того, чтобы запрыгнуть :).

Какой путь она будет падать? S=2м

начальная скорость? 0

S=gt²/2

t= - столько времени ей надо чтобы упасть на пол.

V=V₀+gt. V₀=0

V=g*=

что у нас по размерности? Все сходится. получаем м/c.

V=√2*2*9.81≈5.9м/c

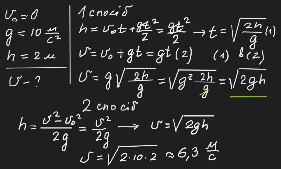
Ответ дал: zybkov1950
0

Відповідь: ≈ 6,3 м/с

Пояснення:

Приложения:
Вас заинтересует