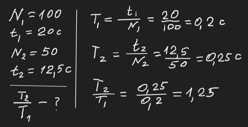
Один маятник здійснює 100 повних коливань за 20 с, а другий
– 50 за 12,5 с. У скільки разів відрізняються періоди коливань маятників?
ДАЮ 70 БАЛОВ ТОЛЬКО ПОМОГИТЕ ПРОШУ ВАС !!!!!!
Ответы
Ответ дал:
1
Відповідь: період коливань другого у 1,25 разів більший
Пояснення:
Приложения:

irapaper45:
Здравствуйте, можете пожалуйста помочь с физикой на тему: Геометрическое построение изображення в тонкой линзе.
Вас заинтересует
1 год назад
1 год назад
1 год назад
1 год назад
3 года назад
3 года назад
8 лет назад