• Предмет: Физика
  • Автор: annastasiyya
  • Вопрос задан 2 года назад

помогите пожалуйста, дам 100 баллов!
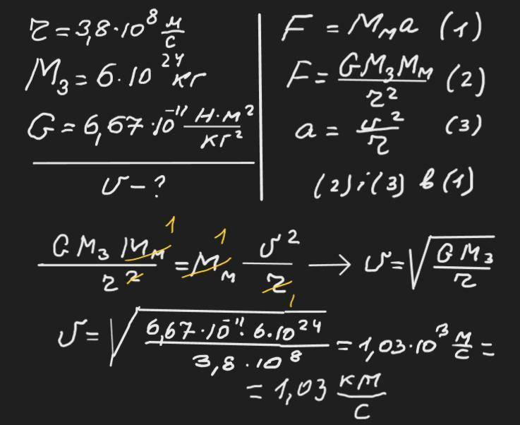
З якою середньою швидкістю рухається Місяць навколо Землі, якщо середня відстань від Землі до Місяця 3,8·108 м, маса Землі 6·1026 кг?

Ответы

Ответ дал: zybkov1950
2

Відповідь: ≈ 1,03 км/с

Пояснення: В умові неправильно вказана маса Землі. В розв'язанні цю помилку виправлено

Приложения:
Вас заинтересует