• Предмет: Математика
  • Автор: enerkui33
  • Вопрос задан 2 года назад

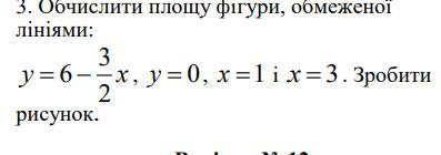
Допоможіть зробити будь ласка

Приложения:

Ответы

Ответ дал: Wzvkmkk
0
2,34 думаю правильно

enerkui33: Можна будь ласка розвязок і малюнок
Вас заинтересует